2015上海公务员考试行测排列组合分析
中公教育
排列组合问题是每年公务员考试行测中的必考题型。此类题目是行测数学中唯一一类涉及高中数学的题型,考生初次接触会觉得难度较大,不知如何入手。因此考生备考时要对此类题充分重视,此类题目考查的是思维,擅长的考生能快速解出取得相应分数。中公教育专家主要针对核心概念和方法技巧这两个方面进行深入讲解。
一、基本概念
1、加法原理:做一件事,完成它可以有n类办法,在第一类办法中有m1种不同的方法,在第二类办法中有m2种不同的方法,在第n类办法中有mn种不同的方法,那么完成这件事共有N= m1+ m2+ m3+…+mn种不同方法,每一种方法都能够直接达成目标。
2、乘法原理:做一件事,完成它需要分成n个步骤,做第一步有m1种不同的方法,做第二步有m2种不同的方法,……,做第n步有mn种不同的方法,那么完成这件事共有N= m1× m2× m3×…×mn种不同的方法。完成一件事必须做好从前至后的每一个步骤。
3、排列和排列数:从
个不同元素中,任取
(
)个元素(这里的被取元素各不相同)按照一定的顺序排成一列,用符号
表示。
4、组合和组合数:一般地,从
个不同元素中取出
个元素并成一组,无高低顺序之分,用符号
表示。
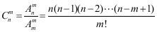
5、公式:
(
),阶乘:
表示正整数1到
的连乘积,叫做
的阶乘
规定
。
公式:
或

6、组合数的性质1:
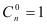
。规定:
;性质2:
=
+
【例1】甲乙两个科室各有4名职员,且男女各半。现从两个科室中选出4人参加培训,要求女职员比重不得低于一半,且每个科室至少选一人,问有多少种不同的选法?
A.67 B.63 C.53 D.51
【答案】D
【中公解析】本题属于计数问题,3分类讨论,因为女职员比重不得低于一半,所以女职工人数有三种情况2人,3人,4人,当女职工有4人时,只有从甲乙两个科室各取2个女职员一种情况,当女职工人数为3人时,从4个女职工中选出3人,再从4个男职工中选出1人,总共是16种情况。当女职工人数为两人时,从4个女职工中选出2人,再从4个男职工中选出2人,总共是36中情况,减去2男2女都来自一个部门的情况共两种,所以是34中,这样把所有情况相加等于1+16+34=51,选D。
【例2】要求厨师从12种主料中挑选出2种、从13种配料中挑选出3种来烹饪某道菜肴,烹饪的方式共有7种,那么该厨师最多可以做出多少道不一样的佳肴?
A.131204 B.132132 C.130468 D.133456
【答案】B
【中公解析】根据题意可知,做菜需要三步,第一步从12种主料中挑选出2种,无顺序之分,有C122种方法;第二步从13种配料中挑选出3种,有C133种方法,第三步从7种烹饪方式中挑选出一种,有7种方法。根据乘法原理,故做菜的方式共有(12×11×13×2×11×7)/2×2×3种,尾数应为2。因此,选B。
【例3】小王忘记了朋友的手机号码的最后两位数字,只记得倒数第一位奇数,则他最多要拨多少次才能保证拨对朋友的手机号码?
A、90 B、50 C、45 D、20
【答案】B
【中公解析】完成此次拨打,要完成最后两位输入,则对应是乘法原理。手机号码的倒数第一位是奇数,则可能的数为1、3、5、7、9,共5个;倒数第二位可以是0、1、2、…9中的任何一个数字,共10个。由此可知,手机号码最后两位的组合形式共有5×10=50种,也就是说,小王最多要拨打50次才能保证打通朋友的电话。因此,选B。
中公教育专家认为,排列组合题目主要考察对基本原理的理解,要做一件事,完成它若是有n类办法,是分类问题,第一类的方法是独立的,要使用加法原理;做一件事,需要分n个步骤,步骤之间是连续的,只有分成若干个互相联系的步骤,依次相继完成这件事才算完成,因此用乘法原理。口诀加法原理:类类独立;乘法原理:步步相关。排列与组合的区别与联系:与顺序无关的为组合问题,与顺序有关的为排列问题,其实排列可以看成两步,首先从n个元素中选出来m个,然后把选出来的m个元素按顺序排列起来,也就是不仅要从n个元素中选出m个,还要知道m个元素是什么。