新浪教育

行测等差数列还在用普通公式?你out啦

中公教育

关注

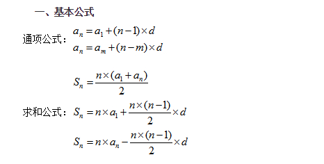
在公务员考试中,计算问题是一大重点题型,而计算问题中的等差数列问题也是重中之重。今天中公教育专家就来开启解决等差数列问题的方法和技巧的大门!

利用好基本公式可以确保题目能够做出来,这是我们的基本功。但是,在有限的时间里,在争分夺秒的考试中是会浪费大量时间的。所以,要想做题快,就需要学会一些特殊的技巧--中项公式。同学们,相比于求和公式,中项公式是不是非常简单呢?

二、例题精讲

加载中...