山东省2018年高考一分一段表(文理)
新浪教育
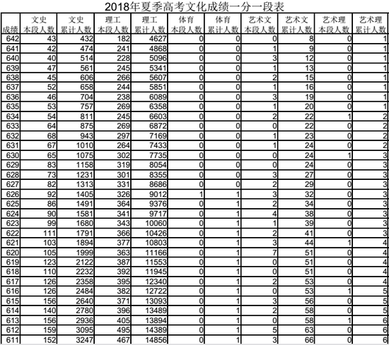
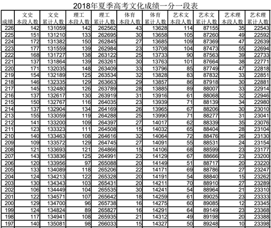
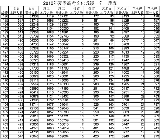
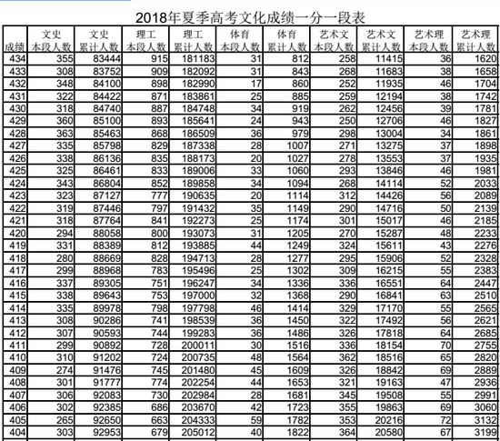
2018年6月24日,山东省2018年高考一分一段表(文理)已发布,如图所示:
新浪教育温馨提示,出分后这三件事最重要:
来源:山东省教育考试厅