新浪教育 高考

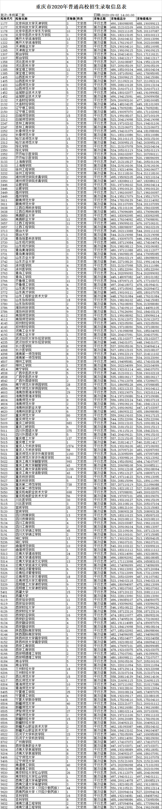
重庆2020普通高校招生录取信息表 本科第二批(三)

新浪教育

关注

批次:本科第二批

日期:2020-09-02 14:00

批次:本科第二批

日期:2020-09-02 14:00

(来源:重庆招考)

加载中...